UWIN电竞官方网站

子频道

18岁以下谢绝访问

吸烟有害健康

UWIN电竞官方网站 

当前位置:

首页

栏目名称

栏目名称

正文

点击率:3773

2022年4月21日UWIN电竞官方网站投资公司飞天茅台中签名单公布

来源:本站

作者:UWIN电竞官方网站投资

更新:2022/4/21 10:24:38

字号: | |

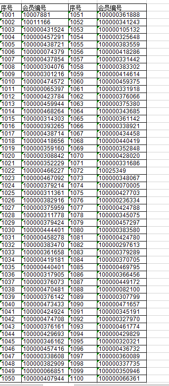
2022年4月21日UWIN电竞官方网站投资公司飞天茅台中签名单公布(详细名单见上图)。

中签会员可通过“福建UWIN电竞官方网站连锁”微信公众号,点击“UWIN电竞官方网站商城”菜单进行查询,预约提货。为保障会员信息的一贯性,已中签的会员,不再接受姓名、身份证号码和手机号码的修改申请。中签会员须凭本人身份证原件和真实有效手机号码到店提货,若手机号码与实际不符或为空号,将无法购酒。

本站面向烟草业和成年烟民开放,含有烟草内容,如果您是18岁以下人士,敬请回避
本网站不得处理有关涉密及行业敏感信息
主管:福建省烟草专卖局(公司)办公室 承办:福建省UWIN电竞官方网站文化传媒有限公司
地址:福建省福州市北环中路133号 邮编:350003
监管服务热线:12313 网站纠错:0591-87069450
增值电信业务经营许可证:闽B2-20090018,闽ICP备06036078号-2 网站标识码:bm64130001
Copyright©2005-2030 福建烟草网 版权所有

闽公网安备 35010202000186号

XML 地图